Changes of Glycans With Age in Different Parts of the World

People are different and glycans are one of the main molecular drivers of these differences. Large collaborative study on over 10,000 individuals from 27 different populations revealed extensive changes of the IgG glycome composition with age. In young people, glycans suppressing inflammation were dominant, while olde…

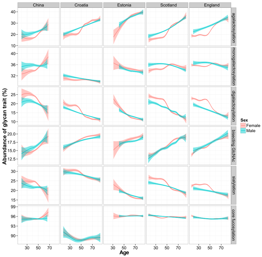
People are different and glycans are one of the main molecular drivers of these differences. Large collaborative study on over 10,000 individuals from 27 different populations revealed extensive changes of the IgG glycome composition with age. In young people, glycans suppressing inflammation were dominant, while older people had more inflammation-promoting glycans. This is consistent with the inflammaging theory of ageing and provides additional evidence that glycans are not only biomarkers but also active drivers of ageing at the molecular level.
Interestingly, age-related changes in glycans were strongly affected by living conditions with people from less developed countries ageing faster than people from developed countries. IgG glycome composition strongly correlated with the expected lifespan, which is another piece of evidence that GlycanAge is a valuable tool to quantify current general health status.
The full study is available here.


Turn health content into action
Explore how biological age testing reflects immune health and inflammaging, GlycanAge for personal wellness tracking, and how to order a GlycanAge biological age test.

The Future of Healthcare is Preventative, Personalised, and Powered by Glycans
Whether you’re improving your own health, supporting patients, or driving research, GlycanAge helps you turn science into action.

How Living Against Your Body Clock Can Compromise Your Immune System
Some people fall asleep within minutes, anywhere, in any position. Others need a carefully constructed evening routine, the right temperature, the right level of quiet, and still end up lying awake for hours. It is easy to assume that the first group has nothing to worry about when it comes to sleep.
April 7, 2026
15 minutes

How Insulin Resistance Can Accelerate Aging Before Diabetes Ever Appears
When most people hear "insulin resistance", chances are their mind goes straight to a scary place: diabetes. And that makes sense, because that's almost always the context it appears in. But framing insulin resistance purely as a diabetes risk misses something important: long before it ever becomes diabetes, insulin r…
March 23, 2026
10 minutes