BIOMARKER DISCOVERY
Plasma N-glycome shows continuous deterioration as the diagnosis of insulin resistance approaches
Cvetko et al.
BMJ Open Diabetes Research & Care
1
Objective
The aim of this study was to identify glycan patterns that could predict diabetes type 2 or even insulin resistance that preceedes it.
2
Methods
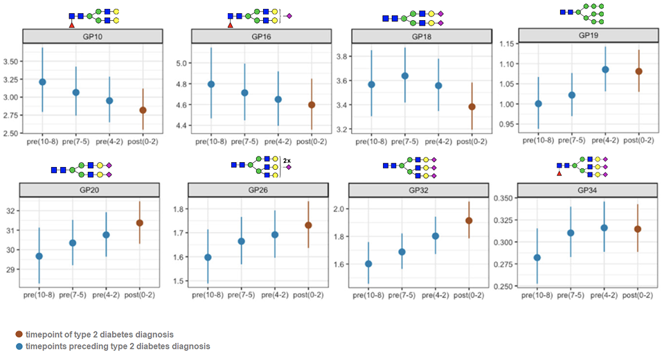
A total of 534 individuals, without insulin resistance and/or diabetes at baseline, were included in the study. Total plasma glycans were analyzed at multiple time points over a 10-year follow-up period, during which some participants developed insulin resistance and/or type 2 diabetes.
3
Results
Eight plasma glycans were found to differ between individuals who remained healthy and those who developed insulin resistance and/or type 2 diabetes during the 10-year follow-up.
These differences were detectable up to a decade before diagnosis and became increasingly pronounced over time, indicating a continuous shift in specific glycan patterns leading up to disease onset.
These differences were detectable up to a decade before diagnosis and became increasingly pronounced over time, indicating a continuous shift in specific glycan patterns leading up to disease onset.

4
Conclusion
This study demonstrated the potential of plasma glycans as early biomarkers for predicting insulin resistance and type 2 diabetes, years before clinical diagnosis.
The results also highlight a continuous deterioration of the glycan profile over time, reflecting the gradual progression toward disease.
The results also highlight a continuous deterioration of the glycan profile over time, reflecting the gradual progression toward disease.

Let's Discuss Your Research
Have a project in mind or want to learn more about how glycan analysis can enhance your work? Our scientific team is ready to explore the possibilities with you.